原创读创科技 2020/03/26 18:04
读创/深圳商报记者 吴吉 通讯员 陈超群 马小帅
在新能源发展迅猛的今天,如何在保证安全的前提下提升电池的效能,这成了科学界的焦点问题。清华大学深圳国际研究生院康飞宇团队凭借在这一领域的科研成果——“高安全性二次电池关键材料研究”项目,在3月25日揭晓的“2019年度广东省科学技术奖”中获得自然科学奖一等奖。清华大学深圳国际研究生院吴耀炯团队“干细胞皮肤再生研究”项目获得自然科学奖二等奖。

图为锌离子电池充放电原理:(a)锌离子电池充放电示意图,(b)锌负极和α-MnO2正极的充放电机理
“高安全性二次电池关键材料研究”项目在高安全二次电池核心材料和器件方面取得了系列创新成果。项目揭示了多价态离子在二氧化锰中的存储机理并发明了高安全水系锌离子电池,发展了高安全固态电池新型聚合物固态电解质及其原位制备方法,揭示了钛酸锂电池的产气机理并获得了解决方案。项目成果推动了新型安全水系锌离子电池理论体系的建立和发展,深化了当前高安全性二次电池理论和材料体系。项目对推动高安全性电池和材料体系的理论发展和实际应用具有重要的指导价值,对推动动力与储能电池在清洁能源和新能源汽车等领域更广泛的应用具有重大意义。该项目有10篇代表性论文发表在国内外知名学术期刊,获得了国内外专家的好评;获授权专利14项,其中11项已实现技术转移。
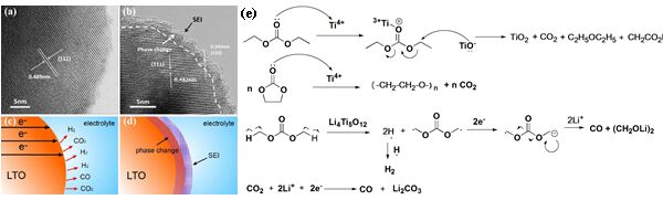
图为钛酸锂电池钛酸锂/电解液本征界面催化反应产气机理
项目负责人康飞宇教授此前获得了2019年度深圳市市长奖,主要从事碳材料和高安全性二次电池研究,解决了天然石墨及石墨烯应用于锂离子电池的关键技术问题,推动了我国天然石墨深加工技术和高安全性可充电电池的发展。项目组成员还包括清华大学深圳国际研究生院贺艳兵老师、天津大学杨全红老师,以及清华大学深圳国际研究生院李宝华、徐成俊、吕伟老师和多名博士后、博士研究生、硕士研究生。

图为基于体外培养的皮肤干细胞形成的毛囊和毛发
“干细胞皮肤再生研究”项目聚焦皮肤损伤后的再生修复这一科学问题,从皮肤干细胞及其再生微环境入手,对影响皮肤再生的细胞和分子机制进行了长期深入的研究,建立了促进皮肤损伤再生修复的方法。研究取得了一系列创新成果,包括:发现皮肤损伤后巨噬细胞通过释放TNF激活毛囊干细胞,促进毛囊的再生;建立了基于皮肤干细胞的皮肤完整再生方法,实现了皮肤损伤后毛囊和皮脂腺的再生;发现自组装多肽材料对干细胞皮肤再生的支持作用;建立了干细胞促进皮肤损伤修复的科学评价动物模型;系统总结阐述了皮肤中骨髓来源的干/组细胞的作用。项目成果在国内外学术期刊发表论文6篇,获发明专利2项。
项目负责人吴耀炯教授近20年来主要致力于干细胞再生医学研究,筛选出了影响间充质干细胞向损伤组织迁徙的重要配体/受体,建立了高迁徙间充质干细胞培养体系,解决了间充质干细胞静脉注射后的肺血管阻塞(滞留)问题;对皮肤干细胞再生微环境进行了深入研究,建立了基于自体皮肤干细胞的毛囊再生方法。“干细胞皮肤再生研究”项目组成员还包括多名研究生和博士后,清华大学深圳国际研究生院的蒋宇扬、史小军老师实验室参与本项目研究。
读创编辑吴吉